Skip to content

OPEN TODAY: 10 A.M.–5 P.M.

Tickets

Visual Materials

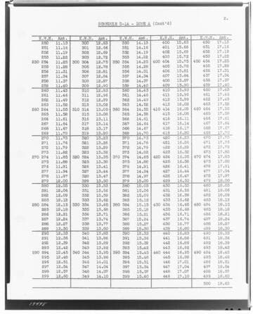
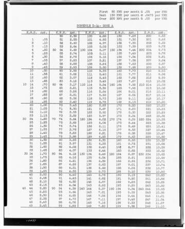
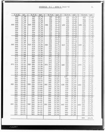
C1.1 - Charts miscellaneous - Rate Schedule



You might also be interested in